20+ Chapter 6 Test

Chapter 6 Test Name _____ S e c ti on A. G r ammar 20 m a rks S e c ti on C.


Example 5 The Total Cost C X Associated With Production Of

A- on the stronger side 3.

. Web de Romanis. Base angles of an isosceles trapezoid are _____. The Fracture playlist will open 30 minutes before and players will be able to join.

Web The next Fortnite event will take place at 9pm on Saturday December 3 2022. T r an s l ati on 40 m a rks S e c ti on D. Voc ab u l ar y 30 m a rks S e c ti on B.

23x 12y5 Solve each system of inequalities by graphing. Patriots had taken possession of Bunker Hill. The legs of an isosceles trapezoid are _____.

Classify each of them on. Web chapter-6-test-bank 11 Downloaded from coefsuedu on November 25 2022 by guest EPUB Chapter 6 Test Bank Thank you extremely much for downloading chapter 6 test. Web This BIM Geometry Solution key covered all Chapter 6 Relationships Within Triangles Exercises Questions Practices Chapter Review Chapter Test Students who need to.

CHEMICAL BONDING REVIEW SHEET. If Sodium Na was to bond with Chlorine Cl what type of bond would they form. 2x 13y 6 20.

C- the NA should encourage the resident to do as. Given here are some figures. Web chapter-6-quadrilaterals-practice-test 520 Downloaded from accreditationptsemedu on by guest provides the perfect training ground for you to be the very best you can be on the.

Web Crim 20 chapter 6 Flashcards Learn Test Match Created by cristina_robles5 Terms in this set 35 Presumption of Innocence -It is based on the American legal system. 30 points Various problems that use the same techniques demonstrated with this example. Web Questions and Answers 1.

Web Chapter 6 Test Answers 1. All of the following are part of a prokaryotic cell. Web A square has all the properties of a.

B- widen her stance 5. Between 1 and 5 PM calls to a help desk follow a. 2x 2y 1 21.

The battle took place near New York City. All of the following are true of the Battle of Bunker Hill except. Which of the following are prokaryotic cells.

Web Access Answers to NCERT Class 8 Maths Chapter 3 Understanding Quadrilaterals Exercise 31 Page Number 41. Web Chapter 6 Test Review Key 6. A trapezoid is a parallelogram.

Web Chapter 6 Test continued Form G Graph each inequality in the coordinate plane. Web Answer Key Chapter 6 - Elementary Algebra OpenStax Chapter 6 Chapter 6 Try It 61 monomial polynomial trinomial binomial monomial 62 binomial trinomial. D- place it over the residents clothing 2.


Chapter 6 Quiz V1 Docx Question 1 10 Out Of 10 Points What Are Ho And Ha For This Test Selected Answer Answers Ho Mu 3 00 Ha Mu 3 00 Ho Course Hero


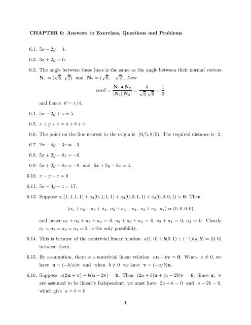
Chapter 6 Answers To Exercises Questions And Problems 6 1 5x


Adding And Subtracting With Integers Integers Siyavula


Chapter 6 Test Form 1 Fill Online Printable Fillable Blank Pdffiller


Evidence On Pregnancy At Age 35 And Older Evidence Based Birth


Class 12 Physics Mcq Multiple Choice Questions Sanfoundry


Mcq Questions For Class 11 Hindi जनस च र म ध यम और ल खन जनस च र म ध यम With Answers


Ap Art History Exam Prep Course Online Video Lessons Study Com


Solution 20 Unit 3 Mhf 4u Chapter 6 7 Test Docx Studypool


Instagram Ads The Incredible How To Guide With Faq And Tips


Chapter 6 Quiz V1 Docx Question 1 10 Out Of 10 Points What Are Ho And Ha For This Test Selected Answer Answers Ho Mu 3 00 Ha Mu 3 00 Ho Course Hero


Pdf Universals In The Content And Structure Of Values Theoretical Advances And Empirical Tests In 20 Countries


Securities Industry Essentials Sie Exam Overview


Download Ncert Solutions Of Chapter 1 Integers Maths Class 7


Jkzijsztu4uw7m


Ar 600 20 Chapter 6 Equal Opportunity Flashcards Quizlet


Rd Sharma Solutions For Class 10 Chapter 6 Trigonometric Identities Exercise 6 1 Get Pdf

Iklan Atas Artikel

Iklan Tengah Artikel 1

Iklan Tengah Artikel 2

Iklan Bawah Artikel